mollwollfumble said:
Peak Warming Man said:
mollwollfumble said:
http://amp.abc.net.au/article/10357170
A fast radio burst, or FRB, is one of the most violent and baffling events known to astronomers.
Only 34 FRBs have been spotted before.
ASKAP detected another 20 in just one year. (Need to check).
The extraordinary new haul of bursts was detected by CSIRO’s Australian Square Kilometre Array Pathfinder (ASKAP) telescope, located 300 kilometres north-east of Geraldton at the Murchison Radio-astronomy Observatory.
ASKAP will eventually have 36 antennas up and running, but the new discoveries were made using only eight. With just those eight dishes, the astronomers canvassed an area of sky 1,000 times the size of the full moon.
I heard that while driving up here today, they said the bursts were billions of years old and came from way way back in time.
Yes, in a galaxy far far away.
That 34 bursts is out of date. There have been 93 separate bursts from the one repeating source FRB 121102.
https://www.nature.com/articles/s41586-018-0588-y
The discovery of repeating bursts from one source, and its subsequent localization to a dwarf galaxy at a distance of 3.7 billion light years, confirmed that the population of fast radio bursts is located at cosmological distances. However, the nature of the emission remains elusive. Here we report a well controlled, wide-field radio survey for these bursts. We found 20, none of which repeated during follow-up observations. The sample includes both the nearest and the most energetic bursts detected so far. The survey demonstrates that there is a relationship between burst dispersion and brightness and that the high-fluence bursts are the nearby analogues of the more distant events found in higher-sensitivity, narrower-field surveys.
What other events?
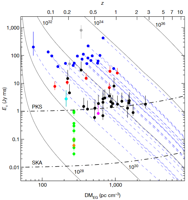
By “other events” they mean FRBs detected by other observatories such as Parkes, I think. This is a plot of all known FRBs to date. The horizontal axis is size, the vertical axis is brightness, sort of.

ASKAP (blue), Parkes (black), UTMOST (red), Green Bank Telescope (magenta) and Arecibo (orange), Parkes FRB candidate 010621 (cyan), Parkes FRBs (150807 and 010724) and are plotted in grey. Repeated pulses from FRB 121102 are displayed in green.
The new ones are the brightest, possibly because they’re the nearest. When it comes online, the SKA will be able to see much fainter FRBs.