Date: 13/10/2018 16:45:36
From: Tau.Neutrino
ID: 1288493
Subject: Future space telescopes ideas
Future space telescopes ideas
The orbits of new space telescopes and the path of future robotic repair missions should be optimized for future repair missions for multiple space telescopes
Future space telescopes should be designed for easy robotic maintenance
replacement gyroscopes
replacement coolant
new batteries
refueling
new modules
etc
Date: 13/10/2018 17:01:41
From: Tau.Neutrino
ID: 1288499
Subject: re: Future space telescopes ideas
The robot would de-orbit multiple obsolete modules in one package.
Date: 13/10/2018 17:04:16
From: mollwollfumble
ID: 1288501
Subject: re: Future space telescopes ideas
Tau.Neutrino said:
Future space telescopes ideas
The orbits of new space telescopes and the path of future robotic repair missions should be optimized for future repair missions for multiple space telescopes
Future space telescopes should be designed for easy robotic maintenance
replacement gyroscopes
replacement coolant
new batteries
refueling
new modules
etc
I prefer the exact opposite:
Space telescopes so far from Earth that they are completely shielded from radiation from Earth. Even better if the Sun is in a different part of the firmament so they can look at things not visible from Earth.
Gyroscopes that cannot fail. There are at least three different types of gyroscopes that can’t fail, such as optical gyroscopes. Really annoying that so many spacecraft have opted to use the type that continually fails. Their reasoning is that the failing gyroscopes have higher accuracy, but that’s no help when they’re dead.
Coolant that never runs out. The coolant in a refrigerator never runs out because it’s closed cycle. Even better is reverse peltier cooling that doesn’t have any refrigerant at all.
Batteries can be made not to fail. NASA is currently developing batteries so stable that they can be used on the surface of Venus without failing, but they’re not quite there yet.
Refueling, new modules.
The failure of Hubble, Chandra, Opporunity and many earlier space telesopes serves to highlight how good the two Voyager spacecraft are. 40 years old and still going strong. Voyagers were not built to be serviced from Earth. They were built with onboard nuclear power and triple redundancy.
Date: 13/10/2018 17:09:39
From: Tau.Neutrino
ID: 1288502
Subject: re: Future space telescopes ideas
mollwollfumble said:
Tau.Neutrino said:
Future space telescopes ideas
The orbits of new space telescopes and the path of future robotic repair missions should be optimized for future repair missions for multiple space telescopes
Future space telescopes should be designed for easy robotic maintenance
replacement gyroscopes
replacement coolant
new batteries
refueling
new modules
etc
I prefer the exact opposite:
Space telescopes so far from Earth that they are completely shielded from radiation from Earth. Even better if the Sun is in a different part of the firmament so they can look at things not visible from Earth.
Gyroscopes that cannot fail. There are at least three different types of gyroscopes that can’t fail, such as optical gyroscopes. Really annoying that so many spacecraft have opted to use the type that continually fails. Their reasoning is that the failing gyroscopes have higher accuracy, but that’s no help when they’re dead.
Coolant that never runs out. The coolant in a refrigerator never runs out because it’s closed cycle. Even better is reverse peltier cooling that doesn’t have any refrigerant at all.
Batteries can be made not to fail. NASA is currently developing batteries so stable that they can be used on the surface of Venus without failing, but they’re not quite there yet.
Refueling, new modules.
The failure of Hubble, Chandra, Opporunity and many earlier space telesopes serves to highlight how good the two Voyager spacecraft are. 40 years old and still going strong. Voyagers were not built to be serviced from Earth. They were built with onboard nuclear power and triple redundancy.
Yes, they are much better ideas.
Anything that can extend mission times should be implemented.
Date: 13/10/2018 17:11:17
From: sibeen
ID: 1288503
Subject: re: Future space telescopes ideas
mollwollfumble said:
Even better is reverse peltier cooling that doesn’t have any refrigerant at all.
Yeah, they do. It’s called convection cooling and the refrigerant is the air that travels across the hot side of the peltier and cools it so it can heat up some more.
In space no one can hear you scream give you convection :) So you have to rely on bloody big fins and radiative cooling which is nowhere near as effective.
Date: 13/10/2018 17:30:12
From: Tau.Neutrino
ID: 1288507
Subject: re: Future space telescopes ideas
sibeen said:
mollwollfumble said:
Even better is reverse peltier cooling that doesn’t have any refrigerant at all.
Yeah, they do. It’s called convection cooling and the refrigerant is the air that travels across the hot side of the peltier and cools it so it can heat up some more.
In space no one can hear you scream give you convection :) So you have to rely on bloody big fins and radiative cooling which is nowhere near as effective.
Would an insulated heat shield in front of it help ?
Date: 13/10/2018 17:32:49
From: sibeen
ID: 1288508
Subject: re: Future space telescopes ideas
Tau.Neutrino said:
sibeen said:
mollwollfumble said:
Even better is reverse peltier cooling that doesn’t have any refrigerant at all.
Yeah, they do. It’s called convection cooling and the refrigerant is the air that travels across the hot side of the peltier and cools it so it can heat up some more.
In space no one can hear you scream give you convection :) So you have to rely on bloody big fins and radiative cooling which is nowhere near as effective.
Would an insulated heat shield in front of it help ?
You are trying to get rid of heat.
Date: 13/10/2018 17:49:34
From: Woodie
ID: 1288510
Subject: re: Future space telescopes ideas
Windscreen wipers on the lenses to auto wipe off the space dust.
Date: 13/10/2018 17:49:42
From: Tau.Neutrino
ID: 1288511
Subject: re: Future space telescopes ideas
sibeen said:
Tau.Neutrino said:
sibeen said:
Yeah, they do. It’s called convection cooling and the refrigerant is the air that travels across the hot side of the peltier and cools it so it can heat up some more.
In space no one can hear you scream give you convection :) So you have to rely on bloody big fins and radiative cooling which is nowhere near as effective.
Would an insulated heat shield in front of it help ?
You are trying to get rid of heat.
The back of the telescope would face the sun, this is where a solar panel array would go, then a insulated panel, then the telescope electronics, then the telescope itself facing to the stars.
Would that work, make the panels at the back large enough so the telescope is in the panels shadow.
Date: 13/10/2018 17:53:19
From: sibeen
ID: 1288513
Subject: re: Future space telescopes ideas
Tau.Neutrino said:
sibeen said:
Tau.Neutrino said:
Would an insulated heat shield in front of it help ?
You are trying to get rid of heat.
The back of the telescope would face the sun, this is where a solar panel array would go, then a insulated panel, then the telescope electronics, then the telescope itself facing to the stars.
Would that work, make the panels at the back large enough so the telescope is in the panels shadow.
You’re definitely going to have to do that (they do) as letting the sun heat up a radiating element isn’t a good idea. These engineers who work for NASA, they weren’t exactly employed for their cluelessness.
Date: 13/10/2018 17:59:36
From: mollwollfumble
ID: 1288515
Subject: re: Future space telescopes ideas
sibeen said:
mollwollfumble said:
Even better is reverse peltier cooling that doesn’t have any refrigerant at all.
Yeah, they do. It’s called convection cooling and the refrigerant is the air that travels across the hot side of the peltier and cools it so it can heat up some more.
In space no one can hear you scream give you convection :) So you have to rely on bloody big fins and radiative cooling which is nowhere near as effective.
Ooh, I hadn’t heard of that. I’m familiar with heat pipes and passive cooling on spacecraft. They use phase change to transtort heat within the spacecraft.
You’re right that radiative cooling is nowhere near as effective. Luckily there’s a big radiative heat sink called the universe.
Date: 13/10/2018 18:02:48
From: mollwollfumble
ID: 1288518
Subject: re: Future space telescopes ideas
Tau.Neutrino said:
sibeen said:
mollwollfumble said:
Even better is reverse peltier cooling that doesn’t have any refrigerant at all.
Yeah, they do. It’s called convection cooling and the refrigerant is the air that travels across the hot side of the peltier and cools it so it can heat up some more.
In space no one can hear you scream give you convection :) So you have to rely on bloody big fins and radiative cooling which is nowhere near as effective.
Would an insulated heat shield in front of it help ?
A Sun shield, Earth shield and Moon shield, yes. A 3 layer shield helps. Each layer protects the spacecraft from heat and light that seeps through or past the previous shield.
Date: 13/10/2018 18:02:58
From: sibeen
ID: 1288519
Subject: re: Future space telescopes ideas
mollwollfumble said:
sibeen said:
mollwollfumble said:
Even better is reverse peltier cooling that doesn’t have any refrigerant at all.
Yeah, they do. It’s called convection cooling and the refrigerant is the air that travels across the hot side of the peltier and cools it so it can heat up some more.
In space no one can hear you scream give you convection :) So you have to rely on bloody big fins and radiative cooling which is nowhere near as effective.
Ooh, I hadn’t heard of that. I’m familiar with heat pipes and passive cooling on spacecraft. They use phase change to transtort heat within the spacecraft.
You’re right that radiative cooling is nowhere near as effective. Luckily there’s a big radiative heat sink called the universe.
But you need bloody big radiators to get your excess heat into the universe, and those you have to cart all the way up a gravity well.
Date: 13/10/2018 18:04:02
From: mollwollfumble
ID: 1288523
Subject: re: Future space telescopes ideas
Woodie said:
Windscreen wipers on the lenses to auto wipe off the space dust.
What do you use as wiper fluid?
Date: 13/10/2018 18:04:38
From: mollwollfumble
ID: 1288524
Subject: re: Future space telescopes ideas
sibeen said:
mollwollfumble said:
sibeen said:
Yeah, they do. It’s called convection cooling and the refrigerant is the air that travels across the hot side of the peltier and cools it so it can heat up some more.
In space no one can hear you scream give you convection :) So you have to rely on bloody big fins and radiative cooling which is nowhere near as effective.
Ooh, I hadn’t heard of that. I’m familiar with heat pipes and passive cooling on spacecraft. They use phase change to transtort heat within the spacecraft.
You’re right that radiative cooling is nowhere near as effective. Luckily there’s a big radiative heat sink called the universe.
But you need bloody big radiators to get your excess heat into the universe, and those you have to cart all the way up a gravity well.
Indeed.
Date: 13/10/2018 18:05:37
From: Michael V
ID: 1288525
Subject: re: Future space telescopes ideas
mollwollfumble said:
Woodie said:
Windscreen wipers on the lenses to auto wipe off the space dust.
What do you use as wiper fluid?
Nothing. Fine brush instead of blade.
Date: 13/10/2018 18:06:54
From: Tau.Neutrino
ID: 1288526
Subject: re: Future space telescopes ideas
Do all the planets and moons have dark cones for telescopes to work within.
The night sides or sides always in darkness.
Date: 13/10/2018 18:07:54
From: mollwollfumble
ID: 1288528
Subject: re: Future space telescopes ideas
sibeen said:
mollwollfumble said:
sibeen said:
Yeah, they do. It’s called convection cooling and the refrigerant is the air that travels across the hot side of the peltier and cools it so it can heat up some more.
In space no one can hear you scream give you convection :) So you have to rely on bloody big fins and radiative cooling which is nowhere near as effective.
Ooh, I hadn’t heard of that. I’m familiar with heat pipes and passive cooling on spacecraft. They use phase change to transtort heat within the spacecraft.
You’re right that radiative cooling is nowhere near as effective. Luckily there’s a big radiative heat sink called the universe.
But you need bloody big radiators to get your excess heat into the universe, and those you have to cart all the way up a gravity well.
Can you use the backs of solar panels as radiators? I wonder if that’s already being done?
Date: 13/10/2018 18:08:40
From: sibeen
ID: 1288530
Subject: re: Future space telescopes ideas
Tau.Neutrino said:
Do all the planets and moons have dark cones for telescopes to work within.
The night sides or sides always in darkness.
I’m fairly sure it’s not the case for all the planets.
Planet Earth comes to mind as one where it isn’t the case.
Date: 13/10/2018 18:09:36
From: sibeen
ID: 1288531
Subject: re: Future space telescopes ideas
mollwollfumble said:
sibeen said:
mollwollfumble said:
Ooh, I hadn’t heard of that. I’m familiar with heat pipes and passive cooling on spacecraft. They use phase change to transtort heat within the spacecraft.
You’re right that radiative cooling is nowhere near as effective. Luckily there’s a big radiative heat sink called the universe.
But you need bloody big radiators to get your excess heat into the universe, and those you have to cart all the way up a gravity well.
Can you use the backs of solar panels as radiators? I wonder if that’s already being done?
I’d imagine that the solar panel is already using it to get rid of heat as solar cells prefer it on the coolish side.
Date: 13/10/2018 18:10:14
From: AwesomeO
ID: 1288533
Subject: re: Future space telescopes ideas
Could you have something like two chambers with a stored liquid or gas, as one side expands it does mechanical work which removes the heat…oh wait.
Date: 13/10/2018 18:17:23
From: mollwollfumble
ID: 1288542
Subject: re: Future space telescopes ideas
sibeen said:
Tau.Neutrino said:
Do all the planets and moons have dark cones for telescopes to work within.
The night sides or sides always in darkness.
I’m fairly sure it’s not the case for all the planets.
Planet Earth comes to mind as one where it isn’t the case.
Planet Earth does, it’s called Earth-Sun L2 lagrangian point. From memory, the Herschel space telescope used that strategy.
Yes. https://en.m.wikipedia.org/wiki/List_of_objects_at_Lagrangian_points
I don’t think it works with moons, except in wavelengths where the planet is brighter than the Sun, such as radio waves or far from the Sun.
Date: 13/10/2018 18:21:41
From: mollwollfumble
ID: 1288546
Subject: re: Future space telescopes ideas
AwesomeO said:
Could you have something like two chambers with a stored liquid or gas, as one side expands it does mechanical work which removes the heat…oh wait.
Um. That’s a bit like how a heat pipe works.
https://en.m.wikipedia.org/wiki/Heat_pipe
Date: 13/10/2018 22:06:43
From: mollwollfumble
ID: 1288654
Subject: re: Future space telescopes ideas
I have quite a few future space telescope ideas, but they are very disorganised right now.
Take wavelengh for instance, with the demise of Hubble there is not one major space telescope looking in the wavelength range of visible light. The Webb will only see see and IR.
Shorter wavelengths, near UV, have the greatest promise for both high resolution at low cost and stunningly brilliant pictures. But there are fewer things to see in space in UV.
Blue light also gives great resolution and pictures, and is currently almost totally neglected.
Red and near IR have been done to death both in space and on the ground, or have they? There are far more things to see in the universe in near IR. It’s by far the best wavelength for Kuiper Belt objects, brown dwarfs, exoplanets, and the first galaxies, as well as gas clouds.
Microwave can see through gas clouds, to objects otherwise hidden by gas and dust, and can see back to the cosmic microvave background.
Radio can’t see much, but with interferometer techniques has the highest resolution of all.
Moving up to the other end of the spectrum, cosmic rays, gamma rays and X-rays find us the most violent events in the universe, neutron stars, supernovae remnants, quasars and black holes.
And further down, extreme UV is essential for studying the Sun.
So what wavelength should the next space telescopes be looking in?
Answering even as simple a question as that would require some thought.
Date: 13/10/2018 22:41:51
From: Bubblecar
ID: 1288663
Subject: re: Future space telescopes ideas
mollwollfumble said:
I have quite a few future space telescope ideas, but they are very disorganised right now.
Take wavelengh for instance, with the demise of Hubble there is not one major space telescope looking in the wavelength range of visible light. The Webb will only see see and IR.
Shorter wavelengths, near UV, have the greatest promise for both high resolution at low cost and stunningly brilliant pictures. But there are fewer things to see in space in UV.
Blue light also gives great resolution and pictures, and is currently almost totally neglected.
Red and near IR have been done to death both in space and on the ground, or have they? There are far more things to see in the universe in near IR. It’s by far the best wavelength for Kuiper Belt objects, brown dwarfs, exoplanets, and the first galaxies, as well as gas clouds.
Microwave can see through gas clouds, to objects otherwise hidden by gas and dust, and can see back to the cosmic microvave background.
Radio can’t see much, but with interferometer techniques has the highest resolution of all.
Moving up to the other end of the spectrum, cosmic rays, gamma rays and X-rays find us the most violent events in the universe, neutron stars, supernovae remnants, quasars and black holes.
And further down, extreme UV is essential for studying the Sun.
So what wavelength should the next space telescopes be looking in?
Answering even as simple a question as that would require some thought.
How about a very long focal length optical light space telescope, optimised for solar system subjects. So we could see the moons of Jupiter, for example, in as much detail as our own moon.
Date: 14/10/2018 05:40:34
From: mollwollfumble
ID: 1288690
Subject: re: Future space telescopes ideas
Bubblecar said:
mollwollfumble said:
I have quite a few future space telescope ideas, but they are very disorganised right now.
Take wavelengh for instance, with the demise of Hubble there is not one major space telescope looking in the wavelength range of visible light. The Webb will only see see and IR.
Shorter wavelengths, near UV, have the greatest promise for both high resolution at low cost and stunningly brilliant pictures. But there are fewer things to see in space in UV.
Blue light also gives great resolution and pictures, and is currently almost totally neglected.
Red and near IR have been done to death both in space and on the ground, or have they? There are far more things to see in the universe in near IR. It’s by far the best wavelength for Kuiper Belt objects, brown dwarfs, exoplanets, and the first galaxies, as well as gas clouds.
Microwave can see through gas clouds, to objects otherwise hidden by gas and dust, and can see back to the cosmic microvave background.
Radio can’t see much, but with interferometer techniques has the highest resolution of all.
Moving up to the other end of the spectrum, cosmic rays, gamma rays and X-rays find us the most violent events in the universe, neutron stars, supernovae remnants, quasars and black holes.
And further down, extreme UV is essential for studying the Sun.
So what wavelength should the next space telescopes be looking in?
Answering even as simple a question as that would require some thought.
How about a very long focal length optical light space telescope, optimised for solar system subjects. So we could see the moons of Jupiter, for example, in as much detail as our own moon.
Thanks, that’s one I hadn’t thought of.
For that you need maximum resolution without worrying too much about light-bucket-type-brightness. That means large diameter, ideally as an interferometer array.
How about a flotilla of small optical telescopes for this? By “small” I mean 1 to 2 metres in diameter reflectors. Small enough to send up three, four or seven in a single launch.
The following examples of layouts for compact arrays appear on the web (ignore the top two, only the bottom two are optimised), but that’s too many telescopes. A flotilla of ten telescopes is too few for a decent interferometer array, twenty is too many to easily put into space. So somewhere within that range.

Agree?
Date: 14/10/2018 11:47:47
From: mollwollfumble
ID: 1288715
Subject: re: Future space telescopes ideas
For the perfect imaging space telescope (as opposed to spectroscope) the following are the requirements that are mutually contradictory.
- High resolution (large diameter)
- Big collecting area (light bucket)
- Large field of view (survey)
- Super-cool (the colder, the less electrical noise)
- Rapid response time (pulsar, supernova, black hole)
- Super lightweight
- Multiple wavelengths (10 or more filters)
- View to within 15 degrees of Sun (needs a great sunshield).
The larger the field of view, the worse the resolution, and vice versa. Large fields of view require corrective lenses, which produce imaging artifacts. I’d like to see Fresnel lenses tried because they’re super-thin.
The more wavelengths or the more rapid the response time, the worse it performs as a light bucket.
Super-lightweight conflicts with all the others.
Super-cool conflicts with high resolution.
Date: 15/10/2018 05:03:25
From: mollwollfumble
ID: 1288923
Subject: re: Future space telescopes ideas
I don’t know whether any of you previously took note of my proposed “Blind Spot” telescope, this is a telescope in LEO with such a good sunshield that it can see stars between the limits of 5 degrees and 60 degrees of the Sun.




In the above image “slew axis” is actually a metal wire that allows the barrel of the telescope to point in a direction at an arbitrary angle to the spin axis.
———-
Another proposal of mine is the Space Radio Array, with fifty 100-metre diameter radio telescopes in orbit and effective diameter equal to the diameter of Jupiter’s orbit. The average distance from Earth of telescope ‘n’ is proportional to 2^(n/3).
———-
And most recently the Crumplescope. Suitable for near IR and possibly also visible, near UV and even microwave and radio. Using a high strength metal alloy (such as a 7068 aluminium alloy) construct a telescope reflector no thicker than aluminium foil, but rigid. The parabolic reflector could be up to a km in diameter. Construct it to submillimeter accuracy in an inert atmosphere on Earth. Then crumple it up carefully, vacuum pack and stow in a rocket payload bay.
Once in space, the elasticity of the alloy will cause it to uncrumple forming a perfect parabolic reflector. Repeat for the sunshield.
Date: 15/10/2018 09:49:09
From: mollwollfumble
ID: 1288955
Subject: re: Future space telescopes ideas
Another space telescope idea, my first one, is that it’s possible to get the same resolution as the Hubble Telescope with a mirror half the diameter, in ultraviolet. Let’s call it Small High-Resolution Telescope Ultraviolet (SHiRTU of SHiTU). Half the diameter means about 1/8 of the weight, certainly very much lower cost, making it a small telescope. All that’s required is more accurate machining of the mirror.
The reasoning is as follows. Hubble’s mirror is optimised for a wavelength of about 500 nm, cyan. Resolution is proportional to wavelength.
Near UV is 300 to 400 nm
Middle UV is 200 to 300 nm (Hubble’s WFC3 goes down to 200 nm, but the mirror machining accuracy stops that being used to full resolution)
Far UV is 122 to 200 nm
The Hydrogen Lyman alpha forest is 122 nm and shorter – space is opaque at those wavelengths.
Resolution is wavelength over diameter.
Hubble’s diameter is 2.4 metres
So Hubble’s resolution of 500 nm / 2.4 metres
SHiRTU’s resolution of 250 nm / 1.2 metres is the same, at a very much lower cost.
———-
Another idea I had is expanded Webb. Those hexagonal mirror segments can be moved further apart for higher resolution.
———-
Another idea I had. Put a PanStarrs-like instrument in space. 1.8 metre diameter (smaller than Hubble), 1.4 billion pixels per image. And a 3° field of view, which is extremely large for telescopes of this size.
By comparison, the “wide field” of Hubble is a tiny 0.036° field of view. In other words PanStarrs can see an area 7,000 times as big as Hubble.
And Hubble’s WFC3 has only 1 Megapixel, less than one thousandth of the number of pixels in PanStarrs.
Date: 15/10/2018 10:03:13
From: mollwollfumble
ID: 1288960
Subject: re: Future space telescopes ideas
mollwollfumble said:
Another space telescope idea, my first one, is that it’s possible to get the same resolution as the Hubble Telescope with a mirror half the diameter, in ultraviolet. Let’s call it Small High-Resolution Telescope Ultraviolet (SHiRTU of SHiTU). Half the diameter means about 1/8 of the weight, certainly very much lower cost, making it a small telescope. All that’s required is more accurate machining of the mirror.
The reasoning is as follows. Hubble’s mirror is optimised for a wavelength of about 500 nm, cyan. Resolution is proportional to wavelength.
Near UV is 300 to 400 nm
Middle UV is 200 to 300 nm (Hubble’s WFC3 goes down to 200 nm, but the mirror machining accuracy stops that being used to full resolution)
Far UV is 122 to 200 nm
The Hydrogen Lyman alpha forest is 122 nm and shorter – space is opaque at those wavelengths.
Resolution is wavelength over diameter.
Hubble’s diameter is 2.4 metres
So Hubble’s resolution of 500 nm / 2.4 metres
SHiRTU’s resolution of 250 nm / 1.2 metres is the same, at a very much lower cost.
———-
Another idea I had is expanded Webb. Those hexagonal mirror segments can be moved further apart for higher resolution.
———-
Another idea I had. Put a PanStarrs-like instrument in space. 1.8 metre diameter (smaller than Hubble), 1.4 billion pixels per image. And a 3° field of view, which is extremely large for telescopes of this size.
By comparison, the “wide field” of Hubble is a tiny 0.036° field of view. In other words PanStarrs can see an area 7,000 times as big as Hubble.
And Hubble’s WFC3 has only 1 Megapixel, less than one thousandth of the number of pixels in PanStarrs.
> The Hydrogen Lyman alpha forest is 122 nm and shorter – space is opaque at those wavelengths.
Actually, I’d love to see what space looks like in Lyman alpha. What light can be seen at that wavelength? It won’t be like any view of the universe that we’re familiar with, that’s for sure.
I wonder if I can book a flight on a high altitude balloon or sounding rocket.
Would we be actually able to see the solar wind that way?
Date: 15/10/2018 10:32:04
From: Spiny Norman
ID: 1288965
Subject: re: Future space telescopes ideas
mollwollfumble said:
I wonder if I can book a flight on a high altitude balloon or sounding rocket.
Would we be actually able to see the solar wind that way?
I can build either of those for you, if you like.
The balloon would give a lot more light time but certainly not as high. Relatively easy to get back down onto the ground safely.
The rocket would get you a much higher perch to observe from, but not for very long – Though with a hybrid rocket it’d be possible to hover at around the 100 km mark for a while. I came up with an idea for a slight variation on the usual hybrid rocket, where it’s kind-of turned inside out so that the reactant gas (I’d use isoproyl nitrate, or maybe liquid nitrous oxide in conjunction with a catalyst pact for ignition) would be in a central cylinder and the solid fuel would surround in the form of a hollow torus-like tube that feeds into an aerospike nozzle.
See the attached cutaway picture – The red area is the solid fuel (A paraffin-based wax), the blue is the gas or liquid oxidiser, and that feeds into the aerospike at the bottom. Hybrid rockets can be throttled, so hovering for a while at around 100 km would be too tricky. The gas.liquid feed would have to also be pumped around the bottom of the aerospike to cooling it.

Date: 15/10/2018 10:34:25
From: Spiny Norman
ID: 1288967
Subject: re: Future space telescopes ideas
Damn typos …
Hybrid rockets can be throttled, so hovering for a while at around 100 km wouldn’t be too tricky. The gas/liquid feed would have to also be pumped around the bottom of the aerospike to cool it.
Date: 15/10/2018 10:43:37
From: Spiny Norman
ID: 1288968
Subject: re: Future space telescopes ideas
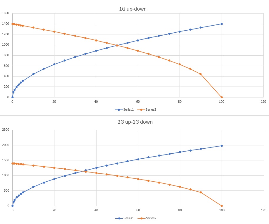
A FWIW a rough spreadsheet on 1G and 2G accelerations to get up into official space. It’s not that difficult – A 1G acceleration for about two minutes is enough.


Date: 15/10/2018 11:34:19
From: Cymek
ID: 1288974
Subject: re: Future space telescopes ideas
What about a telescope array, similar in size to the ISS and it’s modules all connected together each looking at a different part of the spectrum. It has internal compartments that allow servicing and upgrading.
Date: 15/10/2018 13:02:34
From: Ian
ID: 1289011
Subject: re: Future space telescopes ideas

The JWST will observe in a lower long-wavelength visible light through mid-infrared (0.6 to 27 μm) range. This will allow the JWST to observe high redshift objects that are too old and too distant for the Hubble and other earlier instruments to observe. The telescope must be kept very cold to observe in the infrared without interference, so it will be deployed in space near the Earth–Sun L2 Lagrangian point, and a large sunshield made of five sheets of silicon- and aluminum-coated Kapton will keep JWST’s mirror and four science instruments below 50 K (−220 °C; −370 °F).
The telescope has an expected mass about half of Hubble Space Telescope’s, but its primary mirror (a 6.5 meter diameter gold-coated beryllium reflector) will have a collecting area about five times as large (25 m2 or 270 sq ft vs. 4.5 m2 or 48 sq ft). The JWST is oriented toward near-infrared astronomy, but can also see orange and red visible light, as well as the mid-infrared region, depending on the instrument. The design emphasizes the near to mid-infrared for three main reasons: High-redshift objects have their visible emissions shifted into the infrared, cold objects such as debris disks and planets emit most strongly in the infrared, and this band is difficult to study from the ground or by existing space telescopes such as Hubble.
—-
Just need to get it off the ground.
Date: 15/10/2018 13:19:16
From: mollwollfumble
ID: 1289017
Subject: re: Future space telescopes ideas
Spiny Norman said:
mollwollfumble said:
I wonder if I can book a flight on a high altitude balloon or sounding rocket.
Would we be actually able to see the solar wind that way?
I can build either of those for you, if you like.
The balloon would give a lot more light time but certainly not as high. Relatively easy to get back down onto the ground safely.
The rocket would get you a much higher perch to observe from, but not for very long – Though with a hybrid rocket it’d be possible to hover at around the 100 km mark for a while. I came up with an idea for a slight variation on the usual hybrid rocket, where it’s kind-of turned inside out so that the reactant gas (I’d use isoproyl nitrate, or maybe liquid nitrous oxide in conjunction with a catalyst pact for ignition) would be in a central cylinder and the solid fuel would surround in the form of a hollow torus-like tube that feeds into an aerospike nozzle.
See the attached cutaway picture – The red area is the solid fuel (A paraffin-based wax), the blue is the gas or liquid oxidiser, and that feeds into the aerospike at the bottom. Hybrid rockets can be throttled, so hovering for a while at around 100 km would be too tricky. The gas.liquid feed would have to also be pumped around the bottom of the aerospike to cooling it.

In that case I’d better start looking to buy or build a Lyman alpha detector.
Here’s a prototype from NIST.

“Here we report the detection of Lyα emission, by both Keck / DEIMOS and HST WFC3 / IR grism. Grism Lens-Amplified Survey from Space (GLASS)”.
“Ion chambers having a polished MgF2 window and filled with nitric oxide gas have been developed for the measurements of absolute intensities of solar and geocoronal hydrogen Lyman‐α radiation. The area sensitivities of the detectors and the effects of moisture on the transmittances of MgF2 single crystals were measured and compared with those in LiF. The results indicate that an ion chamber with a polished MgF2 window has a superior suitability for the reliable measurement in rocket and satellite experiments as well as in laboratory work. … http://sci-hub.tw/http://aip.scitation.org/doi/pdf/10.1063/1.1686792?class=pdf … A rocket-borne ion chamber to be studied was mounted on a table which could be moved either vertically or hori-zontally under the outside operation of the vacuum system. This ion chamber intercepts one of the split beams, and another ion chamber of the same type, for monitoring any change of the radiation intensity from the monochromator, intercepts the other. A pinhole, 1.0 mm diam, was fixed in front of the ion chamber to be studied. In order to obtain an area sensitivity map, the ion chamber was moved horizon-tally with 1 mm steps and then was moved vertically by 1 mm after every horizontal scan …

Cripes, that looks doable, if the external signal is strong enough, if Earth’s atmosphere doesn’t get in the way, and if the pointing accuracy is stable enough. The lyman alpha causes photoionisation of nitric oxide which is detected using a tungsten wire.

The 235 is the McPherson 500 mm focal length Seya-Namioka monochromator. This optical system is housed in a clean stainless steel housing capable of achieving 10-6 torr vacuum. for use with high vacuum, contaminant free experiments or microchannel plate intensifiers. Wavelengths from 30-nm to 1.2-um can be covered within the scanning range and with appropriate gratings. The 235 is for scanning and microchannel plate intensifier or CCD spectroscopy.
Date: 15/10/2018 13:37:25
From: mollwollfumble
ID: 1289019
Subject: re: Future space telescopes ideas
Ian said:
The JWST will observe in a lower long-wavelength visible light through mid-infrared (0.6 to 27 μm) range. This will allow the JWST to observe high redshift objects that are too old and too distant for the Hubble and other earlier instruments to observe. The telescope must be kept very cold to observe in the infrared without interference, so it will be deployed in space near the Earth–Sun L2 Lagrangian point, and a large sunshield made of five sheets of silicon- and aluminum-coated Kapton will keep JWST’s mirror and four science instruments below 50 K (−220 °C; −370 °F).
The telescope has an expected mass about half of Hubble Space Telescope’s, but its primary mirror (a 6.5 meter diameter gold-coated beryllium reflector) will have a collecting area about five times as large (25 m2 or 270 sq ft vs. 4.5 m2 or 48 sq ft). The JWST is oriented toward near-infrared astronomy, but can also see orange and red visible light, as well as the mid-infrared region, depending on the instrument. The design emphasizes the near to mid-infrared for three main reasons: High-redshift objects have their visible emissions shifted into the infrared, cold objects such as debris disks and planets emit most strongly in the infrared, and this band is difficult to study from the ground or by existing space telescopes such as Hubble.
—-
Just need to get it off the ground.
Yes. Crashing on take-off is not a good strategy in this instance.
Launch date 30 March 2021. Looks like I’d better not hold my breath.
Cymek said:
What about a telescope array, similar in size to the ISS and it’s modules all connected together each looking at a different part of the spectrum. It has internal compartments that allow servicing and upgrading.
I like that. The challenge in my eyes would be in stopping contamination from radiation for Earth. For example, the ISS flies through the Earth’s aurora, radio waves from Earth could muck up radio reception, and heat from Earth needs to be blocked to keep sensors cool. But that could all be done.
A suite of instruments on the same platform operating simultaneously in different modes makes a lot of sense.
Date: 15/10/2018 13:59:22
From: Tau.Neutrino
ID: 1289021
Subject: re: Future space telescopes ideas
mollwollfumble said:
Ian said:
The JWST will observe in a lower long-wavelength visible light through mid-infrared (0.6 to 27 μm) range. This will allow the JWST to observe high redshift objects that are too old and too distant for the Hubble and other earlier instruments to observe. The telescope must be kept very cold to observe in the infrared without interference, so it will be deployed in space near the Earth–Sun L2 Lagrangian point, and a large sunshield made of five sheets of silicon- and aluminum-coated Kapton will keep JWST’s mirror and four science instruments below 50 K (−220 °C; −370 °F).
The telescope has an expected mass about half of Hubble Space Telescope’s, but its primary mirror (a 6.5 meter diameter gold-coated beryllium reflector) will have a collecting area about five times as large (25 m2 or 270 sq ft vs. 4.5 m2 or 48 sq ft). The JWST is oriented toward near-infrared astronomy, but can also see orange and red visible light, as well as the mid-infrared region, depending on the instrument. The design emphasizes the near to mid-infrared for three main reasons: High-redshift objects have their visible emissions shifted into the infrared, cold objects such as debris disks and planets emit most strongly in the infrared, and this band is difficult to study from the ground or by existing space telescopes such as Hubble.
—-
Just need to get it off the ground.
Yes. Crashing on take-off is not a good strategy in this instance.
Launch date 30 March 2021. Looks like I’d better not hold my breath.
Cymek said:
What about a telescope array, similar in size to the ISS and it’s modules all connected together each looking at a different part of the spectrum. It has internal compartments that allow servicing and upgrading.
I like that. The challenge in my eyes would be in stopping contamination from radiation for Earth. For example, the ISS flies through the Earth’s aurora, radio waves from Earth could muck up radio reception, and heat from Earth needs to be blocked to keep sensors cool. But that could all be done.
A suite of instruments on the same platform operating simultaneously in different modes makes a lot of sense.
Yes, and a fleet of them to cover the entire sphere.
Date: 15/10/2018 14:03:49
From: mollwollfumble
ID: 1289022
Subject: re: Future space telescopes ideas
> In that case I’d better start looking to buy or build a Lyman alpha detector.
Even better would be an imager. Let’s look at how the SOHO satellite images in even shorter UV wavelengths.
https://umbra.nascom.nasa.gov/eit/images/instrument_paper.pdf
“By dividing the telescope mirrors into quadrants, it is possible to isolate the emissions from different temperature ranges by tuning the coating on each quadrant separately”.
Slaps forehead, just like coatings on buffy’s glasses. An ordinary CCD reflecting telescope with a coating on the mirror, as simple as that. No need for a monochromatometer.

The coating is made from alternating layers of molybdenum and silicon (could be different for Lyman alpha).