Date: 14/01/2019 18:20:56
From: Spiny Norman
ID: 1330173
Subject: Some integration help please
Doing a calculus course at uni and I am very much not a maths person.
At all.
I can’t remember how to do the integral thingy for the equation in this question. Is it by part or substitution or …. ?

And I can’t figure out how to solve the equations for part B in this one either. It’ll have an x or y where there should be a number. (??)

Is anyone able to help please?
Date: 14/01/2019 18:35:31
From: Michael V
ID: 1330190
Subject: re: Some integration help please
Date: 14/01/2019 18:37:30
From: Spiny Norman
ID: 1330191
Subject: re: Some integration help please
Michael V said:
Sibeen?
And/or Deevs & Mollwumblegrumble
Date: 14/01/2019 18:56:09
From: mollwollfumble
ID: 1330206
Subject: re: Some integration help please
Spiny Norman said:
Doing a calculus course at uni and I am very much not a maths person.
At all.
I can’t remember how to do the integral thingy for the equation in this question. Is it by part or substitution or …. ?

And I can’t figure out how to solve the equations for part B in this one either. It’ll have an x or y where there should be a number. (??)

Is anyone able to help please?
Can you wait until tomorrow? If not, I’m sure Rev D can do it, and esselte and KJW, etc.
It doesn’t look like integration by parts or substitution. It looks like a standard double integral. Solve the inside one first then the outside one second.
Date: 14/01/2019 18:59:49
From: Spiny Norman
ID: 1330208
Subject: re: Some integration help please
mollwollfumble said:
Can you wait until tomorrow? If not, I’m sure Rev D can do it, and esselte and KJW, etc.
It doesn’t look like integration by parts or substitution. It looks like a standard double integral. Solve the inside one first then the outside one second.
Yep tomorrow is okay thanks.
Date: 14/01/2019 19:09:33
From: Spiny Norman
ID: 1330211
Subject: re: Some integration help please
Date: 14/01/2019 21:01:40
From: Spiny Norman
ID: 1330249
Subject: re: Some integration help please
Got the first one I reckon.

Date: 14/01/2019 22:26:12
From: mollwollfumble
ID: 1330271
Subject: re: Some integration help please
Spiny Norman said:
Got the first one I reckon.

Looks good to me.
Date: 14/01/2019 23:28:54
From: sibeen
ID: 1330282
Subject: re: Some integration help please
Spiny Norman said:
Got the first one I reckon.

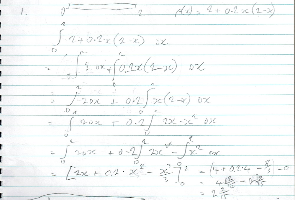
Billy boy, have a think about your answer. The question asked about a rod with a variable density that started at 2 kg/m and increased as you went along the bar. As the bar is 2 metres long then the answer has to be above 4. Always check your maths with some common sense :)
Multiply that last bit of the equations out.
So you’ll have 0.4x – 0.2x^2, now do the int to get -(0.2/3)x^3 + 0.2x^2.
Put that bit into you equation and you should end up with your actual answer being 4.267 or thereabouts :)
Date: 15/01/2019 00:03:08
From: sibeen
ID: 1330283
Subject: re: Some integration help please
sibeen said:
Spiny Norman said:
Got the first one I reckon.

Billy boy, have a think about your answer. The question asked about a rod with a variable density that started at 2 kg/m and increased as you went along the bar. As the bar is 2 metres long then the answer has to be above 4. Always check your maths with some common sense :)
Multiply that last bit of the equations out.
So you’ll have 0.4x – 0.2x^2, now do the int to get -(0.2/3)x^3 + 0.2x^2.
Put that bit into you equation and you should end up with your actual answer being 4.267 or thereabouts :)
rushes back in
The question asked about a rod with a variable density that started at 2 kg/m and increased as you went along the bar.
That was damn inelegant of me, although up to 2 metres the density does increase, so the above sentence stands, as does my maths :)
Above 2 metres the density per metre drops. In fact, WTF, at 10 metres long this thing works out to have a mass of minus 26.7 kg.
scratches head
Date: 15/01/2019 00:25:49
From: dv
ID: 1330285
Subject: re: Some integration help please
Date: 15/01/2019 00:54:38
From: SCIENCE
ID: 1330288
Subject: re: Some integration help please
no otherwise it would be hist
Date: 15/01/2019 03:03:07
From: PermeateFree
ID: 1330290
Subject: re: Some integration help please
Well you would, wouldn’t you.
https://i.imgur.com/tPfCcys.mp4
Date: 15/01/2019 03:17:39
From: PermeateFree
ID: 1330291
Subject: re: Some integration help please
PermeateFree said:
Well you would, wouldn’t you.
https://i.imgur.com/tPfCcys.mp4
Oops, wrong fred.
Date: 15/01/2019 03:49:03
From: mollwollfumble
ID: 1330294
Subject: re: Some integration help please
quote=Spiny Norman
Doing a calculus course at uni and I am very much not a maths person.
At all.
And I can’t figure out how to solve the equations for part B in this one either. It’ll have an x or y where there should be a number. (??)

Is anyone able to help please?
/quote

Date: 15/01/2019 08:56:23
From: The Rev Dodgson
ID: 1330310
Subject: re: Some integration help please
mollwollfumble said:
quote=Spiny Norman
Doing a calculus course at uni and I am very much not a maths person.
At all.
And I can’t figure out how to solve the equations for part B in this one either. It’ll have an x or y where there should be a number. (??)

Is anyone able to help please?
/quote

I was going to reply last night, but like a good engineer I followed Sibeen’s advice before he gave it and decided that half a glass of wine and a hard day at the Indian on-line visa site had addled my brain, and I’d better not. I’ll get back to it this afternoon if I can.
For Part 2, to get a picture of what is happening, I suggest drawing a 3D graph of density against position in the XY plane. The volume under that graph will be the weight.
Date: 15/01/2019 10:15:36
From: Dropbear
ID: 1330330
Subject: re: Some integration help please
SCIENCE said:
no otherwise it would be hist
clever…
Date: 15/01/2019 10:46:44
From: sibeen
ID: 1330343
Subject: re: Some integration help please

I forgot last night that I have a way of showing equations directly. I’m on holidays, it was late, and I’d drunk way more than the Rev had.
Bill, just showing here where you went wrong with the second part of the equation in question 1. You brought the 0.2 out to the front of the integral as such:

and then you split the integral into its component parts, but made a boo boo by not using the 0.2 for both parts.

Date: 15/01/2019 11:09:39
From: sibeen
ID: 1330352
Subject: re: Some integration help please
Egad – missed a minus sign. Should be:

Date: 15/01/2019 14:34:02
From: Spiny Norman
ID: 1330451
Subject: re: Some integration help please
sibeen said:
Spiny Norman said:
Got the first one I reckon.

Billy boy, have a think about your answer. The question asked about a rod with a variable density that started at 2 kg/m and increased as you went along the bar. As the bar is 2 metres long then the answer has to be above 4. Always check your maths with some common sense :)
Multiply that last bit of the equations out.
So you’ll have 0.4x – 0.2x^2, now do the int to get -(0.2/3)x^3 + 0.2x^2.
Put that bit into you equation and you should end up with your actual answer being 4.267 or thereabouts :)
Okay I see where I went wrong with that one – I didn’t put the x & stuff back into brackets – after I did that it came out as 4 4/15.
Date: 15/01/2019 14:34:59
From: Spiny Norman
ID: 1330452
Subject: re: Some integration help please
mollwollfumble said:

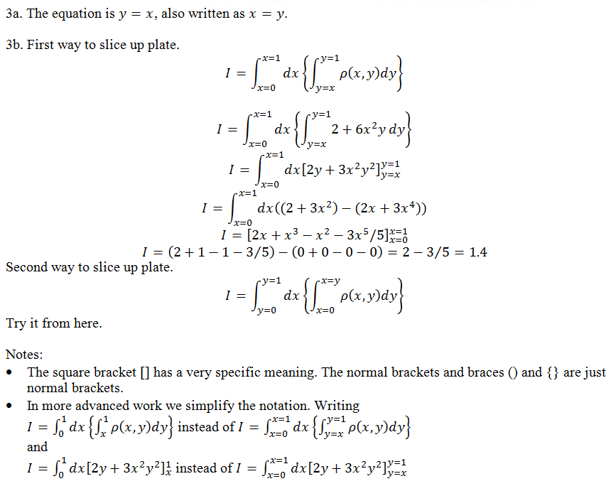
I don’t understand why the 2nd squiggle has the x at the bottom and not at the top ?
Date: 15/01/2019 14:35:52
From: Spiny Norman
ID: 1330454
Subject: re: Some integration help please
Spiny Norman said:
mollwollfumble said:

I don’t understand why the 2nd squiggle has the x at the bottom and not at the top ?
I had it as zero on the bottom and x at the top.
Date: 15/01/2019 15:05:44
From: The Rev Dodgson
ID: 1330486
Subject: re: Some integration help please
Spiny Norman said:
Spiny Norman said:
mollwollfumble said:

I don’t understand why the 2nd squiggle has the x at the bottom and not at the top ?
I had it as zero on the bottom and x at the top.
Pops in:
Because you are integrating the shaded vertical slice at x, which extends from y=x to y=1.
Pops out.
Date: 15/01/2019 15:08:23
From: Spiny Norman
ID: 1330488
Subject: re: Some integration help please
The Rev Dodgson said:
Spiny Norman said:
Spiny Norman said:
I don’t understand why the 2nd squiggle has the x at the bottom and not at the top ?
I had it as zero on the bottom and x at the top.
Pops in:
Because you are integrating the shaded vertical slice at x, which extends from y=x to y=1.
Pops out.
Why not zero to x ?
Date: 15/01/2019 15:11:27
From: Spiny Norman
ID: 1330490
Subject: re: Some integration help please
Spiny Norman said:
The Rev Dodgson said:
Spiny Norman said:
I had it as zero on the bottom and x at the top.
Pops in:
Because you are integrating the shaded vertical slice at x, which extends from y=x to y=1.
Pops out.
Why not zero to x ?
Ah never mind, I understand why now. The way I was doing it, it’d be under the line.
Date: 15/01/2019 15:11:52
From: The Rev Dodgson
ID: 1330491
Subject: re: Some integration help please
Because y=zero to y=x is space, then you get the shaded region.
It’s the vertical slice we are looking at, as in the figure on the left in your first post.
Date: 15/01/2019 15:12:27
From: The Rev Dodgson
ID: 1330492
Subject: re: Some integration help please
Spiny Norman said:
Spiny Norman said:
The Rev Dodgson said:
Pops in:
Because you are integrating the shaded vertical slice at x, which extends from y=x to y=1.
Pops out.
Why not zero to x ?
Ah never mind, I understand why now. The way I was doing it, it’d be under the line.
That’s it :)
Date: 15/01/2019 15:14:15
From: mollwollfumble
ID: 1330494
Subject: re: Some integration help please
Spiny Norman said:
The Rev Dodgson said:
Spiny Norman said:
I had it as zero on the bottom and x at the top.
Pops in:
Because you are integrating the shaded vertical slice at x, which extends from y=x to y=1.
Pops out.
Why not zero to x ?
As Rev D says, that’s the wrong triangle. Every point in the triangle has y > x.
If it was zero to x then that would be y < x.
Date: 15/01/2019 15:14:30
From: Spiny Norman
ID: 1330495
Subject: re: Some integration help please
The Rev Dodgson said:
Spiny Norman said:
Spiny Norman said:
Why not zero to x ?
Ah never mind, I understand why now. The way I was doing it, it’d be under the line.
That’s it :)
It’d be jolly good if we did like the real world does – With a program of some sort. University of Queensland does that that way, grumble grumble ….
Date: 15/01/2019 15:22:58
From: Peak Warming Man
ID: 1330499
Subject: re: Some integration help please
Spiny Norman said:
Spiny Norman said:
The Rev Dodgson said:
Pops in:
Because you are integrating the shaded vertical slice at x, which extends from y=x to y=1.
Pops out.
Why not zero to x ?
Ah never mind, I understand why now. The way I was doing it, it’d be under the line.
No worries.
Date: 15/01/2019 15:26:28
From: The Rev Dodgson
ID: 1330504
Subject: re: Some integration help please
Spiny Norman said:
The Rev Dodgson said:
Spiny Norman said:
Ah never mind, I understand why now. The way I was doing it, it’d be under the line.
That’s it :)
It’d be jolly good if we did like the real world does – With a program of some sort. University of Queensland does that that way, grumble grumble ….
Peers over glasses.
If you want to learn how to feed a black box, go to TAFE. At university we learn to understand things.
(But I’ll probably post a spreadsheet to do double integration in a day or two).
Date: 15/01/2019 15:27:02
From: sibeen
ID: 1330506
Subject: re: Some integration help please
Spiny Norman said:
The Rev Dodgson said:
Spiny Norman said:
Ah never mind, I understand why now. The way I was doing it, it’d be under the line.
That’s it :)
It’d be jolly good if we did like the real world does – With a program of some sort. University of Queensland does that that way, grumble grumble ….
Jaysus. I remember when Kothos was back doing his degree and he was whinging about the same thing. I’ll tell you what I told him back then, “suck it up, princess” :)
Date: 15/01/2019 15:28:49
From: Spiny Norman
ID: 1330510
Subject: re: Some integration help please
The Rev Dodgson said:
Spiny Norman said:
The Rev Dodgson said:
That’s it :)
It’d be jolly good if we did like the real world does – With a program of some sort. University of Queensland does that that way, grumble grumble ….
Peers over glasses.
If you want to learn how to feed a black box, go to TAFE. At university we learn to understand things.
(But I’ll probably post a spreadsheet to do double integration in a day or two).
DGAF how it works, not interested. I’m more than happy to just do it how it’s usually done commercially.
Date: 16/01/2019 13:40:22
From: mollwollfumble
ID: 1330892
Subject: re: Some integration help please
Spiny Norman said:
The Rev Dodgson said:
Spiny Norman said:
It’d be jolly good if we did like the real world does – With a program of some sort. University of Queensland does that that way, grumble grumble ….
Peers over glasses.
If you want to learn how to feed a black box, go to TAFE. At university we learn to understand things.
(But I’ll probably post a spreadsheet to do double integration in a day or two).
DGAF how it works, not interested. I’m more than happy to just do it how it’s usually done commercially.
Commercially?
Um. For simple intervals like these I do it by hand, just the way I’ve explained.
More complicated and I write a computer program to do the Riemann sums.
If I feel like getting fancy I look it up in Handbook of Chemistry and Physics or, better, Gradshteyn and Ryzhik.
For a fast result on a difficult integrand I use https://www.wolframalpha.com/calculators/integral-calculator/
The most accurate integration software is Mathematica. Other software will solve integrals but tend to make more mistakes.
Date: 16/01/2019 13:58:42
From: The Rev Dodgson
ID: 1330910
Subject: re: Some integration help please
mollwollfumble said:
Spiny Norman said:
The Rev Dodgson said:
Peers over glasses.
If you want to learn how to feed a black box, go to TAFE. At university we learn to understand things.
(But I’ll probably post a spreadsheet to do double integration in a day or two).
Probably 99.999(lots more 9s)% of integrals are done numerically, in FEA software and the like.
I’ll post something showing how to do it for these examples.
DGAF how it works, not interested. I’m more than happy to just do it how it’s usually done commercially.
Commercially?
Um. For simple intervals like these I do it by hand, just the way I’ve explained.
More complicated and I write a computer program to do the Riemann sums.
If I feel like getting fancy I look it up in Handbook of Chemistry and Physics or, better, Gradshteyn and Ryzhik.
For a fast result on a difficult integrand I use https://www.wolframalpha.com/calculators/integral-calculator/
The most accurate integration software is Mathematica. Other software will solve integrals but tend to make more mistakes.
Date: 16/01/2019 14:01:11
From: The Rev Dodgson
ID: 1330912
Subject: re: Some integration help please
Not sure what happened there! My reply is buried in the middle under BS.