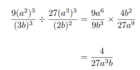
While I was revising for a maths test (Maths 1A – functions and limits), I was focusing on indices and polynomial fractions, because that’s what I’m really bad at.
I found these two errors, the first at the start of the supplied pre-calc revision exercises and the second in the solution set.


Should I be expecting a higher standard for a first uni unit, or is this kind of thing normal???