Date: 10/01/2023 14:02:34
From: The Rev Dodgson
ID: 1978609
Subject: Quick quiz
From last week’s New Scientist
Find mathematical combinations using the numbers 9, 16 and 22 each exactly once to form the integers from 1 to 10.
You are allowed to + – / and * and can square or square root as often as you want.
For instance:
(22+9^0.5)^0.5-16^0.5 = 1
I managed to get everything except 5, then looked up the answer and found I could have got 5 as well with another few weeks of thinking about it.
Date: 10/01/2023 14:27:43
From: sibeen
ID: 1978633
Subject: re: Quick quiz
Date: 10/01/2023 14:31:36
From: sibeen
ID: 1978635
Subject: re: Quick quiz
sibeen said:

Although thinking about it,

may have been easier :)
Date: 10/01/2023 14:33:48
From: sibeen
ID: 1978636
Subject: re: Quick quiz
Date: 10/01/2023 14:39:26
From: sibeen
ID: 1978639
Subject: re: Quick quiz
Date: 10/01/2023 14:40:01
From: sibeen
ID: 1978640
Subject: re: Quick quiz
sibeen said:

Alternate:

Date: 10/01/2023 14:45:31
From: sibeen
ID: 1978643
Subject: re: Quick quiz
Date: 10/01/2023 14:45:56
From: sibeen
ID: 1978644
Subject: re: Quick quiz
Date: 10/01/2023 14:48:13
From: The Rev Dodgson
ID: 1978646
Subject: re: Quick quiz
sibeen said:

I’ll be really pissed off if you get 5 quickly.
Date: 10/01/2023 14:48:13
From: The Rev Dodgson
ID: 1978647
Subject: re: Quick quiz
sibeen said:

I’ll be really pissed off if you get 5 quickly.
Date: 10/01/2023 15:10:34
From: Arts
ID: 1978649
Subject: re: Quick quiz
Date: 10/01/2023 15:54:02
From: dv
ID: 1978662
Subject: re: Quick quiz
The Rev Dodgson said:
From last week’s New Scientist
Find mathematical combinations using the numbers 9, 16 and 22 each exactly once to form the integers from 1 to 10.
You are allowed to + – / and * and can square or square root as often as you want.
For instance:
(22+9^0.5)^0.5-16^0.5 = 1
I managed to get everything except 5, then looked up the answer and found I could have got 5 as well with another few weeks of thinking about it.
So you’ve given us 1.
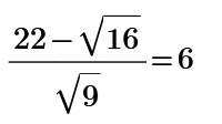
(22-16)/sqrt(9) = 2
(22-16) – sqrt(9) = 3
(22-16)^2/9 = 4
9^2 – 22*sqrt(16) = 7
22/sqrt(sqrt(16))-sqrt(9) = 8
((22-16) – sqrt(9))^2 = 9
22 – sqrt(9)*sqrt(16) = 10
Need a bit more time on 5 and 6
Date: 10/01/2023 15:59:58
From: The Rev Dodgson
ID: 1978664
Subject: re: Quick quiz
dv said:
The Rev Dodgson said:
From last week’s New Scientist
Find mathematical combinations using the numbers 9, 16 and 22 each exactly once to form the integers from 1 to 10.
You are allowed to + – / and * and can square or square root as often as you want.
For instance:
(22+9^0.5)^0.5-16^0.5 = 1
I managed to get everything except 5, then looked up the answer and found I could have got 5 as well with another few weeks of thinking about it.
So you’ve given us 1.
(22-16)/sqrt(9) = 2
(22-16) – sqrt(9) = 3
(22-16)^2/9 = 4
9^2 – 22*sqrt(16) = 7
22/sqrt(sqrt(16))-sqrt(9) = 8
((22-16) – sqrt(9))^2 = 9
22 – sqrt(9)*sqrt(16) = 10
Need a bit more time on 5 and 6
I got 6 pretty quickly.
The other one that took me longer was 4, where I ended up with:
22-(9*(16^0.5)^0.5)
Date: 10/01/2023 16:03:46
From: Peak Warming Man
ID: 1978666
Subject: re: Quick quiz
The Rev Dodgson said:
From last week’s New Scientist
Find mathematical combinations using the numbers 9, 16 and 22 each exactly once to form the integers from 1 to 10.
You are allowed to + – / and * and can square or square root as often as you want.
For instance:
(22+9^0.5)^0.5-16^0.5 = 1
I managed to get everything except 5, then looked up the answer and found I could have got 5 as well with another few weeks of thinking about it.
I’ll get back to you in a fortnight.
Date: 10/01/2023 16:05:36
From: dv
ID: 1978667
Subject: re: Quick quiz
The Rev Dodgson said:
dv said:
The Rev Dodgson said:
From last week’s New Scientist
Find mathematical combinations using the numbers 9, 16 and 22 each exactly once to form the integers from 1 to 10.
You are allowed to + – / and * and can square or square root as often as you want.
For instance:
(22+9^0.5)^0.5-16^0.5 = 1
I managed to get everything except 5, then looked up the answer and found I could have got 5 as well with another few weeks of thinking about it.
So you’ve given us 1.
(22-16)/sqrt(9) = 2
(22-16) – sqrt(9) = 3
(22-16)^2/9 = 4
9^2 – 22*sqrt(16) = 7
22/sqrt(sqrt(16))-sqrt(9) = 8
((22-16) – sqrt(9))^2 = 9
22 – sqrt(9)*sqrt(16) = 10
Need a bit more time on 5 and 6
I got 6 pretty quickly.
The other one that took me longer was 4, where I ended up with:
22-(9*(16^0.5)^0.5)
I mean … if you’ve got 2, it’s pretty easy to get to 4…
Date: 10/01/2023 16:08:03
From: sibeen
ID: 1978668
Subject: re: Quick quiz
dv said:
The Rev Dodgson said:
dv said:
So you’ve given us 1.
(22-16)/sqrt(9) = 2
(22-16) – sqrt(9) = 3
(22-16)^2/9 = 4
9^2 – 22*sqrt(16) = 7
22/sqrt(sqrt(16))-sqrt(9) = 8
((22-16) – sqrt(9))^2 = 9
22 – sqrt(9)*sqrt(16) = 10
Need a bit more time on 5 and 6
I got 6 pretty quickly.
The other one that took me longer was 4, where I ended up with:
22-(9*(16^0.5)^0.5)
I mean … if you’ve got 2, it’s pretty easy to get to 4…
Depends how you got 2 :)
Date: 10/01/2023 16:08:45
From: The Rev Dodgson
ID: 1978669
Subject: re: Quick quiz
dv said:
The Rev Dodgson said:
dv said:
So you’ve given us 1.
(22-16)/sqrt(9) = 2
(22-16) – sqrt(9) = 3
(22-16)^2/9 = 4
9^2 – 22*sqrt(16) = 7
22/sqrt(sqrt(16))-sqrt(9) = 8
((22-16) – sqrt(9))^2 = 9
22 – sqrt(9)*sqrt(16) = 10
Need a bit more time on 5 and 6
I got 6 pretty quickly.
The other one that took me longer was 4, where I ended up with:
22-(9*(16^0.5)^0.5)
I mean … if you’ve got 2, it’s pretty easy to get to 4…
s’pose so, now you mention it :)
Date: 10/01/2023 16:09:07
From: dv
ID: 1978670
Subject: re: Quick quiz
Wait, have I assumed too much in thinking brackets are free?
Date: 10/01/2023 16:11:11
From: The Rev Dodgson
ID: 1978671
Subject: re: Quick quiz
sibeen said:
dv said:
The Rev Dodgson said:
I got 6 pretty quickly.
The other one that took me longer was 4, where I ended up with:
22-(9*(16^0.5)^0.5)
I mean … if you’ve got 2, it’s pretty easy to get to 4…
Depends how you got 2 :)
I’m pretty sure that
(however you got 2)^2
will always work.
Date: 10/01/2023 16:12:30
From: sibeen
ID: 1978672
Subject: re: Quick quiz
The Rev Dodgson said:
sibeen said:
dv said:
I mean … if you’ve got 2, it’s pretty easy to get to 4…
Depends how you got 2 :)
I’m pretty sure that
(however you got 2)^2
will always work.
True dat.

Date: 10/01/2023 16:25:07
From: sibeen
ID: 1978676
Subject: re: Quick quiz
Date: 10/01/2023 16:27:13
From: dv
ID: 1978677
Subject: re: Quick quiz
sibeen said:

noice
Date: 10/01/2023 16:33:04
From: The Rev Dodgson
ID: 1978680
Subject: re: Quick quiz
dv said:
sibeen said:

noice
So only 5 to solve now :)
(needs lots of rooting)
Date: 10/01/2023 16:45:56
From: dv
ID: 1978686
Subject: re: Quick quiz
I don’t think I can afford to let this nerdsnipe me, I could easily end up spending hours on this if I don’t watch me step.
Date: 10/01/2023 16:48:12
From: The Rev Dodgson
ID: 1978687
Subject: re: Quick quiz
dv said:
I don’t think I can afford to let this nerdsnipe me, I could easily end up spending hours on this if I don’t watch me step.
Why should I be the only one :)
Date: 10/01/2023 17:08:53
From: sibeen
ID: 1978693
Subject: re: Quick quiz
The Rev Dodgson said:
dv said:
I don’t think I can afford to let this nerdsnipe me, I could easily end up spending hours on this if I don’t watch me step.
Why should I be the only one :)
Hold on, hold on, you stated that you looked up the answer!!!!!!!!!
Date: 10/01/2023 17:18:39
From: The Rev Dodgson
ID: 1978695
Subject: re: Quick quiz
sibeen said:
The Rev Dodgson said:
dv said:
I don’t think I can afford to let this nerdsnipe me, I could easily end up spending hours on this if I don’t watch me step.
Why should I be the only one :)
Hold on, hold on, you stated that you looked up the answer!!!!!!!!!
But only after spending a week thinking about it!
Date: 10/01/2023 17:31:37
From: mollwollfumble
ID: 1978701
Subject: re: Quick quiz
Did you ever do the four fours?
What is the smallest integer you can get using just for fours?
Apparently, there is no such smallest integer. All integers can be constructed using just four fours. I didn’t figure that out, but I have (or used to have) a book that gives the method.
Date: 10/01/2023 17:32:49
From: mollwollfumble
ID: 1978702
Subject: re: Quick quiz
Oops.
Did you ever do the four fours?
What is the smallest integer you can’t get using just for fours?
Apparently, there is no such smallest integer. All integers can be constructed using just four fours. I didn’t figure that out, but I have (or used to have) a book that gives the method.
Fixed.
Date: 10/01/2023 17:33:22
From: btm
ID: 1978703
Subject: re: Quick quiz
The Rev Dodgson said:
sibeen said:
The Rev Dodgson said:
Why should I be the only one :)
Hold on, hold on, you stated that you looked up the answer!!!!!!!!!
But only after spending a week thinking about it!
sqrt(22 + sqrt(9)) = ?
Date: 10/01/2023 17:33:29
From: dv
ID: 1978704
Subject: re: Quick quiz
mollwollfumble said:
Did you ever do the four fours?
What is the smallest integer you can get using just for fours?
Apparently, there is no such smallest integer. All integers can be constructed using just four fours. I didn’t figure that out, but I have (or used to have) a book that gives the method.
Be very interested to hear about that
Date: 10/01/2023 17:33:33
From: sibeen
ID: 1978705
Subject: re: Quick quiz
mollwollfumble said:
Did you ever do the four fours?
What is the smallest integer you can get using just for fours?
Apparently, there is no such smallest integer. All integers can be constructed using just four fours. I didn’t figure that out, but I have (or used to have) a book that gives the method.
We did the four fours on SSSF. I think Magic Chook introduced it.
Date: 10/01/2023 17:34:10
From: dv
ID: 1978706
Subject: re: Quick quiz
btm said:
The Rev Dodgson said:
sibeen said:
Hold on, hold on, you stated that you looked up the answer!!!!!!!!!
But only after spending a week thinking about it!
sqrt(22 + sqrt(9)) = ?
Where’s the 16?
Date: 10/01/2023 17:35:37
From: btm
ID: 1978707
Subject: re: Quick quiz
dv said:
btm said:
sqrt(22 + sqrt(9)) = ?
Where’s the 16?
Sorry, I didn’t read the original question. Ignore my answer.
Date: 10/01/2023 17:38:35
From: btm
ID: 1978708
Subject: re: Quick quiz
mollwollfumble said:
Oops.
Did you ever do the four fours?
What is the smallest integer you can’t get using just four fours?
Apparently, there is no such smallest integer. All integers can be constructed using just four fours. I didn’t figure that out, but I have (or used to have) a book that gives the method.
Fixed.
What operations are allowed?
Date: 10/01/2023 17:41:49
From: dv
ID: 1978709
Subject: re: Quick quiz
btm said:
mollwollfumble said:
Oops.
Did you ever do the four fours?
What is the smallest integer you can’t get using just four fours?
Apparently, there is no such smallest integer. All integers can be constructed using just four fours. I didn’t figure that out, but I have (or used to have) a book that gives the method.
Fixed.
What operations are allowed?
Kind of seems like an absurd claim. There are surely only a finite number of arithmetic expressions involving four fours.
Date: 10/01/2023 17:47:09
From: The Rev Dodgson
ID: 1978710
Subject: re: Quick quiz
btm said:
The Rev Dodgson said:
sibeen said:
Hold on, hold on, you stated that you looked up the answer!!!!!!!!!
But only after spending a week thinking about it!
sqrt(22 + sqrt(9)) = ?
You have to use the 16 as well.
Date: 10/01/2023 17:49:33
From: The Rev Dodgson
ID: 1978712
Subject: re: Quick quiz
dv said:
btm said:
mollwollfumble said:
Oops.
Did you ever do the four fours?
What is the smallest integer you can’t get using just four fours?
Apparently, there is no such smallest integer. All integers can be constructed using just four fours. I didn’t figure that out, but I have (or used to have) a book that gives the method.
Fixed.
What operations are allowed?
Kind of seems like an absurd claim. There are surely only a finite number of arithmetic expressions involving four fours.
… but there do seem to be several ways of getting 1:
44/44
(4^4)/(4^4)
etc
Date: 10/01/2023 17:49:44
From: Elvis_Rieu
ID: 1978713
Subject: re: Quick quiz
dv said:
btm said:
mollwollfumble said:
Oops.
Did you ever do the four fours?
What is the smallest integer you can’t get using just four fours?
Apparently, there is no such smallest integer. All integers can be constructed using just four fours. I didn’t figure that out, but I have (or used to have) a book that gives the method.
Fixed.
What operations are allowed?
Kind of seems like an absurd claim. There are surely only a finite number of arithmetic expressions involving four fours.
Almost infinite you mean
Date: 10/01/2023 17:50:48
From: dv
ID: 1978714
Subject: re: Quick quiz
The Rev Dodgson said:
dv said:
btm said:
What operations are allowed?
Kind of seems like an absurd claim. There are surely only a finite number of arithmetic expressions involving four fours.
… but there do seem to be several ways of getting 1:
44/44
(4^4)/(4^4)
etc
Right but moll is saying you can use four fours to get to any integer.
1231, -107212, any integer.
Date: 10/01/2023 17:52:19
From: sibeen
ID: 1978715
Subject: re: Quick quiz
dv said:
The Rev Dodgson said:
dv said:
Kind of seems like an absurd claim. There are surely only a finite number of arithmetic expressions involving four fours.
… but there do seem to be several ways of getting 1:
44/44
(4^4)/(4^4)
etc
Right but moll is saying you can use four fours to get to any integer.
1231, -107212, any integer.
If I remember correctly, it was the integers 1 to 100.
Date: 10/01/2023 17:52:23
From: The Rev Dodgson
ID: 1978716
Subject: re: Quick quiz
dv said:
The Rev Dodgson said:
dv said:
Kind of seems like an absurd claim. There are surely only a finite number of arithmetic expressions involving four fours.
… but there do seem to be several ways of getting 1:
44/44
(4^4)/(4^4)
etc
Right but moll is saying you can use four fours to get to any integer.
1231, -107212, any integer.
Yeah, I agree with you on that bit.
Date: 10/01/2023 17:53:23
From: The Rev Dodgson
ID: 1978717
Subject: re: Quick quiz
sibeen said:
dv said:
The Rev Dodgson said:
… but there do seem to be several ways of getting 1:
44/44
(4^4)/(4^4)
etc
Right but moll is saying you can use four fours to get to any integer.
1231, -107212, any integer.
If I remember correctly, it was the integers 1 to 100.
Surely 1 is the lowest, whatever the upper limit is.
Date: 10/01/2023 17:54:47
From: The Rev Dodgson
ID: 1978718
Subject: re: Quick quiz
The Rev Dodgson said:
sibeen said:
dv said:
Right but moll is saying you can use four fours to get to any integer.
1231, -107212, any integer.
If I remember correctly, it was the integers 1 to 100.
Surely 1 is the lowest, whatever the upper limit is.
Oh, I probably should read the question.
Smallest you can’t get.
Date: 10/01/2023 18:02:52
From: dv
ID: 1978721
Subject: re: Quick quiz
I suppose this will end up being a laborious search among combinations of 5^32, 22^4 etc
Date: 10/01/2023 18:23:29
From: Elvis_Rieu
ID: 1978724
Subject: re: Quick quiz
This was part of a test NASA gave me before I could do consulting work for them, knocked it out in about 10 minutes
Date: 10/01/2023 19:14:27
From: sibeen
ID: 1978738
Subject: re: Quick quiz
dv said:
I suppose this will end up being a laborious search among combinations of 5^32, 22^4 etc
Yeah, just been on a run and that’s what I was thinking.
Date: 10/01/2023 19:18:18
From: dv
ID: 1978739
Subject: re: Quick quiz
I think I might have to admit defeat
Date: 10/01/2023 19:23:33
From: Witty Rejoinder
ID: 1978740
Subject: re: Quick quiz
dv said:
I think I might have to admit defeat
It’s good to know your limitations but be aware I will have less respect for you even if that doesn’t seem possible.
Date: 10/01/2023 19:27:24
From: The Rev Dodgson
ID: 1978741
Subject: re: Quick quiz
dv said:
I think I might have to admit defeat
I’ll allow sibeen another alf our, then I’ll post the answer.
Date: 10/01/2023 19:28:50
From: Arts
ID: 1978742
Subject: re: Quick quiz
The Rev Dodgson said:
dv said:
I think I might have to admit defeat
I’ll allow sibeen another alf our, then I’ll post the answer.
never give him the answer…
Date: 10/01/2023 19:28:52
From: sibeen
ID: 1978743
Subject: re: Quick quiz
The Rev Dodgson said:
dv said:
I think I might have to admit defeat
I’ll allow sibeen another alf our, then I’ll post the answer.
I’ve been fiddling around with it, but I’ll throw my towel in with deevs.
Date: 10/01/2023 19:29:47
From: sibeen
ID: 1978744
Subject: re: Quick quiz
Arts said:
The Rev Dodgson said:
dv said:
I think I might have to admit defeat
I’ll allow sibeen another alf our, then I’ll post the answer.
never give him the answer…
You’re a cruel, cruel woman.
Date: 10/01/2023 19:38:19
From: The Rev Dodgson
ID: 1978747
Subject: re: Quick quiz
sibeen said:
The Rev Dodgson said:
dv said:
I think I might have to admit defeat
I’ll allow sibeen another alf our, then I’ll post the answer.
I’ve been fiddling around with it, but I’ll throw my towel in with deevs.
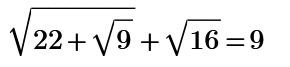
OK, well here it is then:
(22+((9^((16^0.5)^0.5))^0.5)^0.5)^0.5 = 5
Date: 10/01/2023 19:43:02
From: sibeen
ID: 1978750
Subject: re: Quick quiz
The Rev Dodgson said:
sibeen said:
The Rev Dodgson said:
I’ll allow sibeen another alf our, then I’ll post the answer.
I’ve been fiddling around with it, but I’ll throw my towel in with deevs.
OK, well here it is then:
(22+((9^((16^0.5)^0.5))^0.5)^0.5)^0.5 = 5

Date: 10/01/2023 19:45:59
From: sibeen
ID: 1978752
Subject: re: Quick quiz
sibeen said:
The Rev Dodgson said:
sibeen said:
I’ve been fiddling around with it, but I’ll throw my towel in with deevs.
OK, well here it is then:
(22+((9^((16^0.5)^0.5))^0.5)^0.5)^0.5 = 5

Sorry, misread the brackets.

Date: 10/01/2023 19:49:10
From: sibeen
ID: 1978756
Subject: re: Quick quiz

Should have been able to get that.
Date: 10/01/2023 19:51:23
From: The Rev Dodgson
ID: 1978759
Subject: re: Quick quiz
sibeen said:
The Rev Dodgson said:
sibeen said:
I’ve been fiddling around with it, but I’ll throw my towel in with deevs.
OK, well here it is then:
(22+((9^((16^0.5)^0.5))^0.5)^0.5)^0.5 = 5

Should be:
sqrt(22+sqrt(sqrt(9^sqrt(sqrt(16)))))
Date: 10/01/2023 19:52:55
From: The Rev Dodgson
ID: 1978761
Subject: re: Quick quiz
sibeen said:
Should have been able to get that.
That’s what I thought when I saw it.
Anyway, glad that you and dv didn’t get it either :)
Date: 11/01/2023 01:17:04
From: dv
ID: 1978801
Subject: re: Quick quiz
Rev, I considered that kind of option, but it’s kind of outside the scope of the puzzle as stated.
“You are allowed to + – / and * and can square or square root as often as you want.”
It doesn’t say you’re allowed other exponentiation.
I’m displeased.
Date: 11/01/2023 09:23:46
From: SCIENCE
ID: 1978848
Subject: re: Quick quiz
dv said:
Rev, I considered that kind of option, but it’s kind of outside the scope of the puzzle as stated.
“You are allowed to + – / and * and can square or square root as often as you want.”
It doesn’t say you’re allowed other exponentiation.
I’m displeased.
**
Date: 11/01/2023 09:58:50
From: The Rev Dodgson
ID: 1978864
Subject: re: Quick quiz
dv said:
Rev, I considered that kind of option, but it’s kind of outside the scope of the puzzle as stated.
“You are allowed to + – / and * and can square or square root as often as you want.”
It doesn’t say you’re allowed other exponentiation.
I’m displeased.
Where is the other exponentiation? It’s all just repeated square rooting.
Date: 11/01/2023 10:05:02
From: SCIENCE
ID: 1978871
Subject: re: Quick quiz
The Rev Dodgson said:
dv said:
Rev, I considered that kind of option, but it’s kind of outside the scope of the puzzle as stated.
“You are allowed to + – / and * and can square or square root as often as you want.”
It doesn’t say you’re allowed other exponentiation.
I’m displeased.
Where is the other exponentiation? It’s all just repeated square rooting.
it’s this operator you can’t see here

Date: 11/01/2023 10:12:27
From: The Rev Dodgson
ID: 1978872
Subject: re: Quick quiz
SCIENCE said:
The Rev Dodgson said:
dv said:
Rev, I considered that kind of option, but it’s kind of outside the scope of the puzzle as stated.
“You are allowed to + – / and * and can square or square root as often as you want.”
It doesn’t say you’re allowed other exponentiation.
I’m displeased.
Where is the other exponentiation? It’s all just repeated square rooting.
it’s this operator you can’t see here

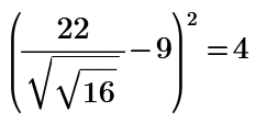
You are right.
I can’t see any operator between the 9 and the square root symbol.
9 to the power of the square root of the square root of 16 = 81.
Date: 11/01/2023 11:11:27
From: SCIENCE
ID: 1978888
Subject: re: Quick quiz
The Rev Dodgson said:
SCIENCE said:
The Rev Dodgson said:
Where is the other exponentiation? It’s all just repeated square rooting.
it’s this operator you can’t see here

You are right.
I can’t see any operator between the 9 and the square root symbol.
9 to the power of the square root of the square root of 16 = 81.
so are you agreeing that the inflection or pitch or tonality of an expression has an impact on the meaning of the expression, or are you agreeing that it doesn’t
Date: 11/01/2023 11:32:23
From: The Rev Dodgson
ID: 1978896
Subject: re: Quick quiz
SCIENCE said:
The Rev Dodgson said:
SCIENCE said:
it’s this operator you can’t see here

You are right.
I can’t see any operator between the 9 and the square root symbol.
9 to the power of the square root of the square root of 16 = 81.
so are you agreeing that the inflection or pitch or tonality of an expression has an impact on the meaning of the expression, or are you agreeing that it doesn’t
I wasn’t making any comment on that statement.
Date: 11/01/2023 14:21:45
From: dv
ID: 1978989
Subject: re: Quick quiz
The Rev Dodgson said:
SCIENCE said:
The Rev Dodgson said:
You are right.
I can’t see any operator between the 9 and the square root symbol.
9 to the power of the square root of the square root of 16 = 81.
so are you agreeing that the inflection or pitch or tonality of an expression has an impact on the meaning of the expression, or are you agreeing that it doesn’t
I wasn’t making any comment on that statement.
I’m sure you can see it. It may not be represented by a symbol: it’s represented by position.
But I’m not even talking about symbols. I’m talking about operations . We would assume that the list of allowed operations was an exhaustive list.
Date: 11/01/2023 14:33:54
From: SCIENCE
ID: 1979000
Subject: re: Quick quiz
dv said:
The Rev Dodgson said:
SCIENCE said:
so are you agreeing that the inflection or pitch or tonality of an expression has an impact on the meaning of the expression, or are you agreeing that it doesn’t
I wasn’t making any comment on that statement.
I’m sure you can see it. It may not be represented by a symbol: it’s represented by position.
But I’m not even talking about symbols. I’m talking about operations . We would assume that the list of allowed operations was an exhaustive list.
right but if we(1,1,1)’re going to get all technical then instead of stuff like

surely yous’d be better off writing them as for instance
sqrt(add(22,sqrt(sqrt(pow(9,sqrt(sqrt(16)))))))
and then the discussion could continue on whether pow was an appropriate operation
Date: 11/01/2023 14:35:03
From: The Rev Dodgson
ID: 1979001
Subject: re: Quick quiz
dv said:
The Rev Dodgson said:
SCIENCE said:
so are you agreeing that the inflection or pitch or tonality of an expression has an impact on the meaning of the expression, or are you agreeing that it doesn’t
I wasn’t making any comment on that statement.
I’m sure you can see it. It may not be represented by a symbol: it’s represented by position.
But I’m not even talking about symbols. I’m talking about operations . We would assume that the list of allowed operations was an exhaustive list.
But where is the operation that isn’t a square or square root?
SCIENCE pointed out 9^2, so it can’t be that one.
Date: 11/01/2023 14:35:03
From: The Rev Dodgson
ID: 1979002
Subject: re: Quick quiz
dv said:
The Rev Dodgson said:
SCIENCE said:
so are you agreeing that the inflection or pitch or tonality of an expression has an impact on the meaning of the expression, or are you agreeing that it doesn’t
I wasn’t making any comment on that statement.
I’m sure you can see it. It may not be represented by a symbol: it’s represented by position.
But I’m not even talking about symbols. I’m talking about operations . We would assume that the list of allowed operations was an exhaustive list.
But where is the operation that isn’t a square or square root?
SCIENCE pointed out 9^2, so it can’t be that one.
Date: 11/01/2023 14:37:20
From: SCIENCE
ID: 1979004
Subject: re: Quick quiz
The Rev Dodgson said:
dv said:
The Rev Dodgson said:
I wasn’t making any comment on that statement.
I’m sure you can see it. It may not be represented by a symbol: it’s represented by position.
But I’m not even talking about symbols. I’m talking about operations . We would assume that the list of allowed operations was an exhaustive list.
But where is the operation that isn’t a square or square root?
SCIENCE pointed out 9^2, so it can’t be that one.
ah so it’s a semantic metapuzzle now is that it
Date: 11/01/2023 14:41:47
From: The Rev Dodgson
ID: 1979012
Subject: re: Quick quiz
SCIENCE said:
The Rev Dodgson said:
dv said:
I’m sure you can see it. It may not be represented by a symbol: it’s represented by position.
But I’m not even talking about symbols. I’m talking about operations . We would assume that the list of allowed operations was an exhaustive list.
But where is the operation that isn’t a square or square root?
SCIENCE pointed out 9^2, so it can’t be that one.
ah so it’s a semantic metapuzzle now is that it
If you want.
Personally I’d rather just put some brackets around (sqrt(sqrt(16)) to turn in into 2, then 9^2 is clearly allowed under the stated conditions.
Date: 11/01/2023 14:49:49
From: SCIENCE
ID: 1979018
Subject: re: Quick quiz
The Rev Dodgson said:
SCIENCE said:
The Rev Dodgson said:
But where is the operation that isn’t a square or square root?
SCIENCE pointed out 9^2, so it can’t be that one.
ah so it’s a semantic metapuzzle now is that it
If you want.
Personally I’d rather just put some brackets around (sqrt(sqrt(16)) to turn in into 2, then 9^2 is clearly allowed under the stated conditions.
well all right we’d have to see the original Act or Constitution to be sure, rules are rules, there are operators like square(.) and there are effects
Date: 11/01/2023 14:58:47
From: The Rev Dodgson
ID: 1979023
Subject: re: Quick quiz
SCIENCE said:
The Rev Dodgson said:
SCIENCE said:
ah so it’s a semantic metapuzzle now is that it
If you want.
Personally I’d rather just put some brackets around (sqrt(sqrt(16)) to turn in into 2, then 9^2 is clearly allowed under the stated conditions.
well all right we’d have to see the original Act or Constitution to be sure, rules are rules, there are operators like square(.) and there are effects
Oh, we’ve moved on from discussing operations to operators have we?
Luckily the original conditions are stated in the opening post, which says you can square, which I have always understood to be raising to the power 2, often indicated these days with ^2.
Date: 11/01/2023 15:00:06
From: dv
ID: 1979024
Subject: re: Quick quiz
I’ll be writing to the ombudsman.
Date: 11/01/2023 15:02:07
From: The Rev Dodgson
ID: 1979029
Subject: re: Quick quiz
dv said:
I’ll be writing to the ombudsman.
Shouldn’t you give New Scientist the chance to explain themselves first?
Date: 11/01/2023 15:12:45
From: dv
ID: 1979035
Subject: re: Quick quiz
The Rev Dodgson said:
dv said:
I’ll be writing to the ombudsman.
Shouldn’t you give New Scientist the chance to explain themselves first?
I assume I will not be the only punter less than grunted. There are difficult puzzles, then there are puzzles that are just poorly framed.
Maybe next week they’ll ask for three words ending in gry.
Date: 11/01/2023 15:16:15
From: Peak Warming Man
ID: 1979037
Subject: re: Quick quiz
dv said:
The Rev Dodgson said:
dv said:
I’ll be writing to the ombudsman.
Shouldn’t you give New Scientist the chance to explain themselves first?
I assume I will not be the only punter less than grunted. There are difficult puzzles, then there are puzzles that are just poorly framed.
Maybe next week they’ll ask for three words ending in gry.
That would be in New English.
Date: 11/01/2023 15:28:37
From: The Rev Dodgson
ID: 1979043
Subject: re: Quick quiz
dv said:
The Rev Dodgson said:
dv said:
I’ll be writing to the ombudsman.
Shouldn’t you give New Scientist the chance to explain themselves first?
I assume I will not be the only punter less than grunted. There are difficult puzzles, then there are puzzles that are just poorly framed.
Maybe next week they’ll ask for three words ending in gry.
Next time I’ll be sure to post on the approved day for pedantic discussions.
Date: 11/01/2023 16:20:12
From: SCIENCE
ID: 1979080
Subject: re: Quick quiz
The Rev Dodgson said:
Oh, we’ve moved on from discussing operations to operators have we?
Luckily the original
well as you can see there’s been no moving on to have or otherwise, both have been discussed at length
Date: 11/01/2023 16:27:44
From: The Rev Dodgson
ID: 1979089
Subject: re: Quick quiz
SCIENCE said:
The Rev Dodgson said:
Oh, we’ve moved on from discussing operations to operators have we?
Luckily the original
well as you can see there’s been no moving on to have or otherwise, both have been discussed at length
Why were you discussing operators at length?
Date: 11/01/2023 16:31:34
From: SCIENCE
ID: 1979100
Subject: re: Quick quiz
The Rev Dodgson said:
SCIENCE said:
The Rev Dodgson said:
Oh, we’ve moved on from discussing operations to operators have we?
Luckily the original
well as you can see there’s been no moving on to have or otherwise, both have been discussed at length
Why were you discussing operators at length?
probably inspired by this thread or something
Date: 11/01/2023 16:35:10
From: The Rev Dodgson
ID: 1979104
Subject: re: Quick quiz
SCIENCE said:
The Rev Dodgson said:
SCIENCE said:
well as you can see there’s been no moving on to have or otherwise, both have been discussed at length
Why were you discussing operators at length?
probably inspired by this thread or something
But that seems to say that you can square as often as you want, so I’m really not understanding why a solution that includes a square operation should be disputed.
Date: 11/01/2023 16:38:17
From: Peak Warming Man
ID: 1979106
Subject: re: Quick quiz
The Rev Dodgson said:
SCIENCE said:
The Rev Dodgson said:
Why were you discussing operators at length?
probably inspired by this thread or something
But that seems to say that you can square as often as you want, so I’m really not understanding why a solution that includes a square operation should be disputed.
Is -1 included in all that square rooting?
Date: 11/01/2023 16:41:20
From: The Rev Dodgson
ID: 1979110
Subject: re: Quick quiz
Peak Warming Man said:
The Rev Dodgson said:
SCIENCE said:
probably inspired by this thread or something
But that seems to say that you can square as often as you want, so I’m really not understanding why a solution that includes a square operation should be disputed.
Is -1 included in all that square rooting?
Fortunately we only need to root positive values, so we can forget about all that imaginary nonsense.
Date: 11/01/2023 16:47:01
From: Peak Warming Man
ID: 1979112
Subject: re: Quick quiz
The Rev Dodgson said:
Peak Warming Man said:
The Rev Dodgson said:
But that seems to say that you can square as often as you want, so I’m really not understanding why a solution that includes a square operation should be disputed.
Is -1 included in all that square rooting?
Fortunately we only need to root positive values, so we can forget about all that imaginary nonsense.
I’m with you pilgrim.
I woke up to them years ago when they suddenly out of nowhere slipped the square of -1 into the an equation to make it work thinking no one would notice.
They thought we were mugs.
Date: 15/01/2023 10:09:24
From: The Rev Dodgson
ID: 1980972
Subject: re: Quick quiz
mollwollfumble said:
Oops.
Did you ever do the four fours?
What is the smallest integer you can’t get using just for fours?
Apparently, there is no such smallest integer. All integers can be constructed using just four fours. I didn’t figure that out, but I have (or used to have) a book that gives the method.
Fixed.
I’ve started having a look at this for integers between 1 and 100.
The only way I can get even close is if I allow powers of 0, 0.5, 2 and 3.
Allowing that I’ve got up to 52, except for 43.
In particular, to get even close I need to be able to get 1 using just one 4, so needed 4^0.
Is there a name for raising to the power 0, so I don’t need the 0?
Date: 15/01/2023 10:24:14
From: SCIENCE
ID: 1980975
Subject: re: Quick quiz
you can name any operation you choose
Date: 15/01/2023 10:47:27
From: The Rev Dodgson
ID: 1980997
Subject: re: Quick quiz
SCIENCE said:
you can name any operation you choose
In that case I can generate any integer you like with just one four.
Date: 15/01/2023 10:47:27
From: The Rev Dodgson
ID: 1980998
Subject: re: Quick quiz
SCIENCE said:
you can name any operation you choose
In that case I can generate any integer you like with just one four.
Date: 15/01/2023 11:16:28
From: SCIENCE
ID: 1981015
Subject: re: Quick quiz
The Rev Dodgson said:
SCIENCE said:
you can name any operation you choose
In that case I can generate any integer you like with just one four.
similarly, but without any four