
Have an intermittent fault in Word to PDF conversion. Did the following:
1) Scanned text full of mathematical equations (Windows fax and scan).
2) Reduced colour depth, converted to greyscale and reset black and white to get best image (Irfanview).
3) Cut and paste each equation into Word. Enlarged 160% in Word.
4) Converted to PDF using CutePDF printer.
5) Viewed with Acrobat Reader X
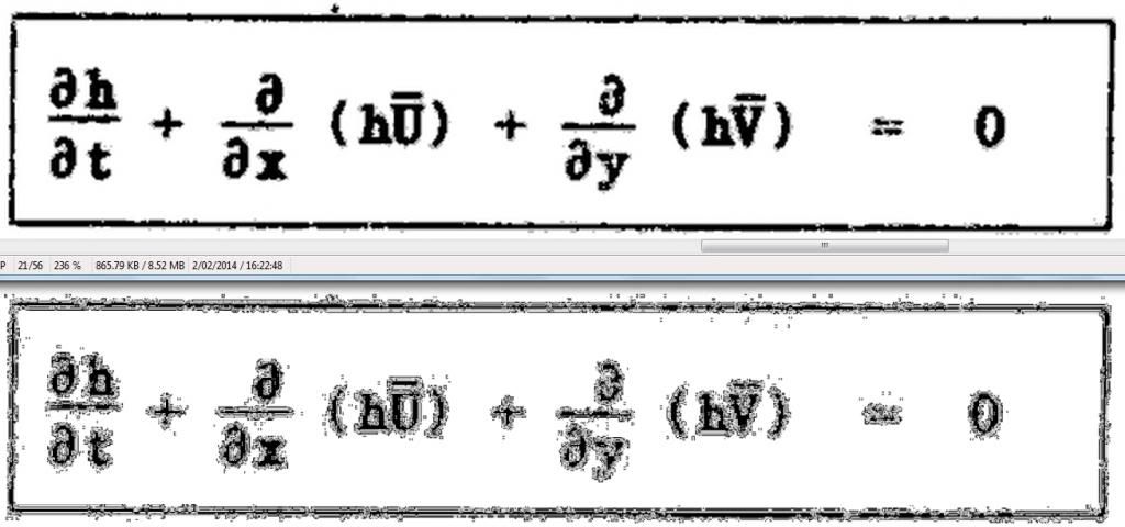
The above image shows an equation in Irfanview (right), Word (bottom) and PDF (top). The PDF quality is much worse as it adds a lot of non-existent pixels and fades and ghosts real pixels.
The weird thing about this is that it’s intermittent. There are scanned images on 36 pages but the images are damaged on only 9 of those pages, and with one exception all images on a damaged page are damaged. In that exception all the images in the bottom half of the page are damaged.
The image below compares before and after damage.

This does not appear to be a windows image compression problem, or simply a problem with blackening of pale grey pixels.